Davey Silensor Pro Premium Swimming Pool Pump With Bluetooth Sales Page Photo

Davey's Silensor Pro Premium Inverter Swimming Pool Pump - SP400BT

Key features:

  • Inverter pump (variable frequency drive) type.
  • Suitable for pool filtration, water features, and pool &
    spa heating systems
    .
  • Bluetooth system featured (connectible with iOS and/or Android smartphone).
  • 36 months warranty.
  • Adjustable pressure setting based on usage.
ISO certified logo.
SGS testing certification logo.
European Conformity

Overview of Davey's Silensor Pro Premium Inverter Swimming Pool Pump

The Silensor Pro Premium SP400BT by Davey is a premium variable-speed pool pump engineered for quiet, efficient, and highly controllable pool circulation. It operates on a 220-240V electrical supply with a 50/60Hz frequency and allows users to fine-tune performance using 10 adjustable speed dial positions, making it suitable for everyday filtration, water circulation, and backwashing. This flexible design helps reduce energy consumption while maintaining strong hydraulic performance for pools of varying sizes and requirements. The pump is supported by a 3-year manufacturer’s guarantee, providing confidence in long-term performance. This pump is also app-connectible vie Bluetooth where the pump is controlled by the app.

Product Code Identification Method

Davey’s Silensor Pro Premium swimming pool pump has only one product number, SP400BT. SP stands for Silensor Pro, identifying the pump series. Davey’s quiet, high efficiency Silensor Pro variable-speed pool pumps.

400 refers to the model size / performance class. It indicates the pump’s flow and power range, positioning it within the SilensorPro lineup (higher numbers generally mean higher capacity within the series).

Davey SP400BT Silensor Pro Premium Swimming Pool Pump Identification Method

BT stands for Bluetooth. This means the pump includes built-in Bluetooth connectivity, allowing:

  • Wireless setup and configuration
  • Speed adjustment via mobile device
  • Easier commissioning and diagnostics without opening the pump.

This naming helps dealers and installers quickly identify:

  • The pump family
  • Its performance level
  • Whether it includes smart connectivity features.

Attachment

Bluetooth Functionality

Bluetooth

This feature is useful and convenient by enabling remote pump configuration.

It reduces the amount of work labouring while increasing the quality of pools by allowing filtration and speed cycles to be controlled from your IOS or Android smartphone.

Davey Smartphone Pool Pump App

Davey Smartphone Pool Pump App

Aligning with the internet era, the Silensor Pro Premium swimming pool pump can also be monitored and adjusted via Davey’s smartphone application.

Eventhough as many androids and/or iPhones can be used to install the Davey Pool Pump app, only one device can be used to control the pump at any given time.

And with both the language and time horizon maps according to your current phone setting, it is also important to know that the pump’s measuring units will be defaulted based on your region’s system of measurement. However, you may choose between Litres (L), Gallons (Gal), or Metre Per Hour (m3/hr).

Variable-Speed Drive

The system has been made to be dependable and comfortable to live with in the real world circumstances. It automatically restarts itself once a dry-run scenario is detected and it will also restart automatically when power is lost eliminating the necessity to manually restart it. It provides a volt-free tank level sensor to be directly part of the programming to allow more flexibility in installation to provide smarter and safer operation depending on the actual conditions of the tank.

It is easy to interact with the user because of a clear LCD control and information panel that indicates at a glance operating status, operating settings and alarms. An inbuilt pressure transducer helps in proper monitoring of pressure and the user is informed by visual alarms against under-current conditions. To provide extra security, the system will automatically shut off under the over-current conditions and provide an obvious indication of the fault, which will prevent harm to the motor or the drive.

The high degree of operational reliability is also improved with the help of detailed data logging. Operating events, alarm, run time are recorded by the controller and it becomes easier to review performance as well as diagnosing problems. The heat exchanger with the aluminum material enhances thermal efficiency and the cooling of the VSD by using the fan of the pump itself, and there is no need of extra cooling fan, decreases the total cooling expenditure.

The unit is properly resistant to unstable power conditions that are likely to occur onsite. The motor and the VSD are protected in case of a brown-out by an automatic shutdown and a visual alarm is provided. When the right voltage has been restored the system will automatically attempt to boot up. There is also protection against locked rotor whereby the controller would switch down the system to prevent severe motor damage.

In case of bigger systems, the system can be modified to support more pumps in parallel like in a simple daisy-chain arrangement supporting as many as two pumps. Integrated fault-diagnostic software helps users in the process of troubleshooting, reducing down-time and call-ins. The touchpad allows setting pressure setpoints in small, 10 kPa (1.5 psi) steps, and has a three-minute manual override feature to ease priming at startup or when performing maintenance.

Extra Large 4.5 Litre Lint Pot

The lint pot acts as a shield to protect the impeller in the pump from particles that can clog the impeller. The reason behind this is to maintain the pool’s efficiency. Without any clogs from particles like dried leaves, the pump can run at its full potential without having any hiccups. While the lint pot does its work, less cleaning is required and reducing the amount of work.

Loss of Prime Protection

Pump deterioration may result in inefficiencies in operation and expensive maintenance times. The essence of protecting against the loss of prime is to always have a consistent source of fluid, check on air leaks, clear obstruction and make sure that there is proper priming. These problems can be avoided by regular maintenance and awareness of how the pump works and provide guaranteed functionality.

Weatherproof RJ45 Communication Port

The weatherproof RJ45 communication port functions as pool control system or pool heaters. This port provides better energy efficiency due to the system’s automatic adjustments heater output, pump speed, and filtration timing based on real-time demand. This avoids unnecessary heating or pumping, helping to lower electricity and energy costs.

Approaching the wide-range of technologies in this modern world, RJ45 is globally accepted standard, making it useful and easier pool systems to expand in the future. Additional heaters, pumps or sensors also can be added without changing the design of the entire control network, ensuring long-term compatibility with newer smart pool technologies.

RJ45 connectors are widely used in various applications due to their ability to support high-speed data transmission and reliable performance. They are essential in Ethernet networks, enabling fast, stable communication between devices.

The RJ45 also comes in Cat5e and Cat6a Ethernet, has a IP67 waterproof rating, threaded design, wide temperature range, ensures durability performance as its best, and effortless pin termination.

Silensor Pro Premium Pump Certifications

ISO 9001 – Quality Management: ensure consistent manufacturing quality. This confirms that all Davey products are produced with uniform standards across the supply chain.

ISO 14001 – Environmental Management: This shows that Davey’s commitment to environmental responsibility covering waste management, recycling, eco friendly factory practices, efficient delivery planning, reduction of environmental impact and emissions.

SGS-180275-EA approval: This indicates that the Silensor Pro Premium swimming pool pump has been tested and certified by SGS Laboratories (a respected third-party testing body) for electrical safety and compliance with relevant standards.

Class B level energy efficient-approved would mean fairly sustainable as the pump deliver good performances.

ClassMeaning
AVery high efficiency, lowest power usage
BHigh efficiency
CGood
DAverage
ELow
FVery low

Swimming Pool Pump Selection Guide

Swimming Pool Pump Selection Guide

Inlet And Physical Dimensions

The SP400BT is a small but powerful model and its dimensions are 305 mm body diameter and 10 mm mounting holes, standard 50/63 mm inlet and outlet plumbing, and weighs 14.5 kg, making it easy to install in a new system and also in a retrofit installation.

Water Cooled Motor

Energy consumption in the pump is remarkably efficient throughout the operating range of the pump. When it uses Dial 1, it uses only 125W (0.17 hp) of power, 724W (0.97 hp) at Dial 5, and a maximum of 1,557W (2.08 hp) at Dial 10. The motor speed ranges between 1, 050-3, 100 rpm and backwash function is controlled on a variable speed to facilitate better cleaning of the filters. When the system is in standby mode, it consumes only 8 watts which reduces unnecessary consumption of power.

Unlike other motors where it uses fans to cooldown the motor’s heat, this unique water-cooled motor offers efficient energy saving. It reduces the amount of electricity that needs to be inputted into the pump due to using water a cooling system. This also ensures environmental-friendly and no noise pollution can occur.

This feature uses the Fourier’s Law where heat conduction occurs first and heat convection after. The thermal energy from the motor transfers to the wall of the pump where liquid cooling or water is circulating around the pump therefor absorbing the thermal energy from the wall of the pump.

The noise of the motor is reduced by the circulation of water around the pump where noise will not go through water density. This produces 50 dba* levels of sound pressure and 71 dba* levels of sound power. This leads to natural-resource utilisation.

Operating Limits

The noise of the motor is reduced by the circulation of water around the pump where noise will not go through water density. This produces 50 dba* levels of sound pressure and 71 dba* levels of sound power. This leads to natural-resource utilisation.The unit will be able to work in harsh conditions with a water temperature of up to 40°C and ambient air temperature of up to 50°C without performance deterioration.
Operating Limits
Max Water Temperature40°C
Max Ambient Temperature50°C
Sound Pressure Level50 dBa*
Max Power Level71 dBa*

Electrical Data

The SilensorPro SP400 BT is strong and safe and has an IP45 enclosure rating to withstand water and dust plus Class F motor insulation to enhance thermal resistance. The pump has a 3-metre power lead to make installation easy and the official electric approval, SGS-180275-EA, to make it compliant with the accepted safety standards.

 

Electrical Data
Voltage (V)220 – 240
Supply Frequency (Hz)50-60
Maximum Input Power (W/HP)125W/0.17hp @ Dial 1
724W/0.97hp @ Dial 5
1,557W/2.08hp @ Dial 10
Backwash: varies
Motor Speed (rpm)1,050 to 3,100
Standby Power (W)8
Backwash (rpm)Variable Speed
Enclosure Class (IP)45
Insulation ClassF
Power Lead Length3m
Approval No.SGS-180275-EA

Construction, Safety And Electrical Protection

The SilensorPro SP400 BT is strong and safe and has an IP45 enclosure rating to withstand water and dust plus Class F motor insulation to enhance thermal resistance. The pump has a 3-metre power lead to make installation easy and the official electric approval, SGS-180275-EA, to make it compliant with the accepted safety standards.

Insulation ClassF
Power Lead Length3m

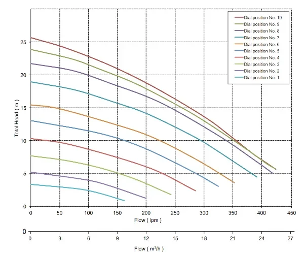
Q-H Curve

Davey Silensor Pro Premium Swimming Pool Pump Q-H Curve

Included In The Box

Silensor Pro Premium Inverter Swimming Pool Pump

User Manual

Proof of Purchase

36 Months of Manufacturer Warranty

Contact Us